用户空间| 简体版| 繁体版 智能问答
支持IPv6
无障碍
当前位置:首页 > 政府信息公开 > 钦州市政府信息公开平台 > 钦州市卫生健康委员会 > 法定主动公开内容 > 医疗卫生 > 健康科普与职业病防治
发文单位:钦州市卫生和计划生育委员会成文日期:2018年08月07日
标  题:钦州市卫生计生委关于印发2018年钦州市居民健康素养监测工作方案的通知
发文字号:钦卫计委爱卫〔2018〕4号发布日期:2022年11月17日

钦州市卫生计生委关于印发2018年钦州市居民健康素养监测工作方案的通知

2022-11-17 00:00     来源:钦州市卫生和计划生育委员会
收藏 我要收藏 公共资源调用站点 文章分享
分享 微信
头条
微博 空间 qq
【字体: 打印

 

各县、区卫生计生局,钦州港经济技术开发区社会工作局,各直属相关单位:

现将《2018年钦州市居民健康素养监测工作方案》印发给你们,请贯彻执行。

 

 

                    钦州市卫生和计划生育委员会

                                201887

 

(信息公开形式:主动公开)

 

 

2018年钦州市居民健康素养监测工作方案

 

为建立和健全覆盖健康素养监测网络,掌握和分析居民健康素养状况与需求,促进全民健康素养水平的提升。自治区卫计委决定从2018年起,在全区范围内全面开展健康素养水平监测工作。根据《自治区卫生计生委办公室关于印发广西居民健康素养监测工作方案(2018年版)的通知》(桂卫办发〔201848号),结合我市实际,特制定本方案。

一、监测目标

(一)建立覆盖全市各县(区)的居民健康素养监测网络,对各地实施全民健康素养促进行动成效进行效果评价。

(二)提升健康教育专业人员能力和水平,分析居民健康素养影响因素。

(三)全面掌握全市居民健康素养水平情况,协助自治区卫生计生委制订健康促进与教育相关政策、措施提供科学依据。

二、监测对象与范围

(一)监测对象

1社区居民:1569周岁具有中国国籍的常住人口,不包括集体居住于军事基地、医院、监狱、养老院、宿舍等地点的居民。常住人口是指过去12个月内在当地居住时间累计超过6个月的居民,不考虑是否具有当地户籍。

2在校学生:小学、中学、高等院校在校学生。

(二)监测范围

为我市行政区域范围,包括灵山县、浦北县、钦南区、钦北区、钦州港经济技术开发区。

(三)监测点设置

监测点分国家级、自治区级、市级监测点,每年度的监测点名单,按照分级管理的模式由国家、自治区、市有关部门按规定确定公布。

钦南区(大番坡镇、那思镇、钦州港经济开发区)为2018年全国居民健康素养监测点。灵山县、浦北县、钦北区为市级监测点。

(四)调查数量

1社区居民:国家、自治区、市级监测点每个县(市、区)调查最低样本量均为450人,国家级监测点在按照《2018年全国居民健康素养监测方案》(桂卫爱卫发〔20184号附件2)完成240人抽样测算后,再增加210人的抽样调查。

每个县(区)抽取3个街道(乡镇),每个街道(乡镇)抽取3个居委会(村),每个居委会(村)抽取60户的家庭户,每家庭户抽取1名符合条件的家庭成员作为调查对象,每个居委会(村)入户调查完成至少50人份的调查问卷。

有条件的市、县(区)如需对监测结果数据进行城乡、男女、年龄段等统计学分析,或结合其他工作需要,可自行通过样本量计算公式(附件1)增加调查样本数量。

2在校学生:在每个县(区)随机抽取1所高中、1所初中和1所小学,如辖区内有高等院校的则随机抽取1所高等院校开展调查。在选中的学校中,采用随机抽取的方式原则上调查高等院校三年级、高中二年级、初中二年级、小学五年级各1个班,每个班调查全体学生(约40—60名学生),采取集中自填问卷的形式,开展问卷调查。

三、监测内容

采用问卷调查的方式了解监测对象的健康素养水平,主要内容包括基本健康知识和理念、健康生活方式与行为、基本技能3个方面。

除小学在校学生外,其他人群统一使用当年度全国居民健康素养监测调查问卷,小学在校学生调查问卷另行下发。

四、监测方法

在校学生监测由各县(区)采用简单随机抽样方式依次选定被调查的高等院校、高中、初中、小学及具体班级,被抽中的班级全体学生采取集中自填问卷形式完成调查工作,并采用统一的Epidata软件数据库以双录入的形式录入调查数据,并提交市健教中心审核后统一报自治区疾病预防控制中心。各县(区)需保留抽样过程等资料备查。

社区居民监测方法包括监测抽样、现场调查和数据录入、整理及分析等。

(一)现场调查

采用入户调查方式,问卷由调查对象独立完成填写,如调查对象不能独立完成填写,则采用面对面询问方式调查。

现场调查完成后,由各监测点数据管理员填写《健康素养监测完成情况汇总表》和监测完成情况报告;经协调员审核后上报监测点负责人,加盖县级卫生计生行政部门公章后上报市健教中心,国家级、自治区级监测点资料需同时上报至自治区疾病预防控制中心。

(二)数据录入、整理及分析

各县(区)采用统一的Epidata软件数据库录入调查数据。各县(区)在完成数据录入后,将数据全部上报市健教中心,国家、自治区级监测点数据同时上报自治区疾病预防控制中心。为便于开展问卷复核,每个国家级监测点前240份调查对象的原始调查问卷上交至自治区疾病预防控制中心存档备查。

五、成立市级监测工作指导小组

市级健康素养监测工作指导小组负责组织开展现场督导,督促监测点按时按质完成监测工作任务。市健教中心负责为监测工作提供技术支持,配合市卫生计生委做好培训、督导、质控工作。指导小组人员名单如下:

  组  长:李     市卫生计生委副主任

  成  员:周     市卫生计生委爱国卫生科科长

黄枝艳   市健教中心主任

陈其学   市健教中心副主任

莫建书   市健教中心消杀科负责人

    市卫生计生委爱国卫生科工作人员

冯明辉   市卫生计生委爱国卫生科工作人员

六、质量控制

监测调查中要严格遵循本监测工作方案指定的抽样方法完成逐级抽样,直至抽取具体调查对象。市卫生计生委负责开展各县监测点的工作人员培训,各县(区)负责组织辖区疾控中心、监测点等工作人员开展相应的培训。

七、职责及分工

(一)市级卫生计生委:负责组织实施全市健康素养监测工作,制订本市监测实施方案,组织开展市级培训,加强现场督导工作,按照自治区监测方案要求加强项目管理,督促各县(区)按时按质完成监测工作。市健康教育与健康促进中心负责为监测工作提供技术支持,承担具体的抽样、复核、数据收集分析等工作,配合市级卫生计生委做好培训、督导、质量控制等工作。

(二)县级卫生计生局:负责组织实施本辖区健康素养监测工作,落实健康素养监测工作经费,制订监测实施方案,成立监测工作组,落实各有关单位工作职责,组织开展调查员培训,负责协调街道办、乡镇政府、居委会、村委会等有关部门做好数据收集、现场绘图列表、入户调查等工作。县级疾病预防控制中心负责为监测工作提供技术支持,配合县级卫生计生行政部门开展培训,负责牵头实施健康素养监测各项具体工作任务。钦州港经济技术开发区要配合钦南区做好本次健康素养监测工作。

八、进度安排

20188月:完成市级培训,各县(区)完成家庭户列表(国家级监测点同时完成绘图工作),抽定家庭户。

20189月:各县(区)开展现场调查,自治区、市级开展现场督导等质量控制工作。

201810月:各县(区)完成数据录入,国家级监测点于1020日前将原始调查问卷、监测数据、调查完成情况登记表、完成情况报告等相关资料报市卫生计生委审核后,提交至自治区疾病预防控制中心。

201811月:数据清理、分析,撰写监测报告。市健康教育与健康促进中心将各县(区)监测数据及监测结果报市卫生计生委审核后,上报自治区疾病预防控制中心。

九、工作要求

(一)加强组织领导。健康素养水平监测是落实国家基本公共卫生服务项目健康素养促进行动项目任务和《钦州市全民健康素养促进行动计划(2017—2020年)》的具体要求,是掌握和体现我市居民健康素养和健康水平的重要措施。各县(区)要高度重视,将其作为开展基本公共卫生服务项目和健康素养促进行动的必需工作和关键环节,制定和完善监测评估方案,明确职责任务,落实专人负责,确保监测工作任务按时按质完成。

(二)做好保障工作。各县(区)卫生计生局要科学合理的做好健康素养监测工作经费的测算,确保落实年度健康素养监测工作资金。同时要重视和加强县(区)及乡镇健康素养监测人员队伍的培训,落实专人负责,不断提高监测专业能力和质量。

(三)加大宣传力度。各县(区)要充分发挥舆论导向作用,利用手机微信、电视、报刊、电台、网络、政务公开栏、宣传横幅等开展多形式、多层次、多方位的宣传活动,让群众以主人翁的姿态主动参与到工作中来,树立每个人都是自己健康的第一责任人观念,积极学习健康知识、配合开展监测调查,践行健康生活方式,共同推进健康素养和健康水平的提升。

不尽事宜请与市卫生计生委联系,联系人:颜静,联系电话:2861955,技术咨询请与市健康教育与健康促进中心联系,联系人:莫建书,联系电话:2886306,电子邮箱:qzjkjyzx@163.com,监测工作QQ群号:751393551

 

附件:1样本量计算公式(参考)

            2居委会(村)信息收集表

            3居委会(村)分片情况记录表

            4居委会(村)家庭户列表

5健康素养调查完成情况登记表

6健康素养监测调查问卷质量控制登记表

7健康素养监测复核调查表

8健康素养监测完成情况报告(模板,含健康素养监测完成情况汇总表)

 


附件1

 

样本量计算公式

(参考)

 

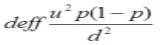
    样本量计算公式为:N=

    自治区级监测最低样本量计算示例:

    各参数的含义及取值如下:置信水平取95%(双侧),相应的u=1.96;概率p10.25%(参考2015年中国居民健康素养监测全国水平);设计效率deff值取为1.5;相对误差r=10%d=10%×10.25%=1.025%,样本量计算为5046人。设定无效问卷和拒访率不超过10%,计算得到自治区级监测所需最低样本量为5607人。

    市级监测所需最低样本量计算示例:

各参数的含义及取值如下:置信水平取95%(双侧),相应的u=1.96;概率p10.25%(参考2015年中国居民健康素养监测全国水平);设计效率deff值取为2;相对误差r=15%,绝对误差d=15%×10.25%=1.538%,样本量计算为2989人。设定无效问卷和拒访率不超过10%,计算得到市级监测所需最低样本量为3321人。


附件2

 

居委会(村)信息收集表

 

区县

区县代码

街道

街道代码

居委会(村委会)

名称

居委会(村委会)

户数

居委会(村委会)编码(同一街道内自123……顺序编码)

备注

 

 

 

 

 

 

 

 

 

 

 

 

 

 

 

 

 

 

 

 

 

 

 

 

 

 

 

 

 

 

 

 

 

 

 

 

 

 

 

 

 

 

 

 

 

 

 

 

 

 

 

 

 

 

 

 

 

 

 

 

 

 

 

 

 

 

 

 

 

 

备注:填写上报时必须使用电子表格excel形式

 

附件3

 

居委会(村)分片情况记录表

 

县(区)

县(区)代码

街道/乡镇名称

街道/乡镇代码

居委会/村委会名称(含+

居委会/村委会代码

居委会/村委会总家庭户数

划分片区的家庭户数量

片区代码

备注

 

 

 

 

 

 

 

 

 

 

 

 

 

 

 

 

 

 

 

 

 

 

 

 

 

 

 

 

 

 

 

 

 

 

 

 

 

 

 

 

 

 

 

 

 

 

 

 

 

 

 

 

 

 

 

 

 

 

 

 

 

 

 

 

 

 

 

 

 

 

 

 

备注:

1.填写上报时必须使用电子表格excel形式

2.片区代码与绘制的片区划分地图保持一致。

3.该抽样表应与片区划分图一同上报。

 

附件4

 

居委会(村)家庭户列表

 

区县

区县

代码

街道

街道

代码

居委会/村委会名称

居委会/村委会代码

家庭户编码(同一居委会内自123……顺序编码,与地图保持一致)

家庭地址

户主姓名

备注

监测点年份

 

 

 

 

 

 

 

 

 

 

 

 

 

 

 

 

 

 

 

 

 

 

 

 

 

 

 

 

 

 

 

 

 

 

 

 

 

 

 

 

 

 

 

 

 

 

 

 

 

 

 

 

 

 

 

 

 

 

 

 

 

 

 

 

 

备注:填写上报时必须使用电子表格excel形式

 

附件5

 

2018年健康素养调查完成情况登记表

 

调查点:                                  街道(乡镇):                                居委会(村):

家庭户代码

家庭户地址或户主姓名

KISH表代码

家庭户完成情况

调查对象姓名

个人完成情况

最终完成情况代码

问卷

编码

联系

电话

1

2

3

1

2

3

时间

代码

时间

代码

时间

代码

时间

代码

时间

代码

时间

代码

 

 

 

 

 

 

 

 

 

 

 

 

 

 

 

 

 

 

 

 

 

 

 

 

 

 

 

 

 

 

 

 

 

 

 

 

 

 

 

 

 

 

 

 

 

 

 

 

 

 

 

 

 

 

 

 

 

 

 

 

 

 

 

 

 

 

 

 

 

 

 

 

 

 

 

 

 

 

 

 

 

 

 

 

 

 

 

 

 

 

 

 

 

 

 

数据管理员:       日期:         质控员:         日期:       调查员:       日期:

备注:

1家庭户地址根据省级健康教育专业机构抽样结果填写。问卷编码根据编码规则由数据管理员填写。

2家庭完成情况代码:11.完成;12.拒绝;13.无能力回答;14.不在家;15.无符合条件调查对象;16.无人居住/空房/已无此家庭/不是家庭; 17.其他。

3个人完成情况代码:21.完成;22.部分完成;23.拒绝;24.无能力回答;25.不在家;26.其他。

4最终完成情况代码:以家庭或个人最后一次完成情况代码为最终完成情况代码。


附件6

 

健康素养监测调查问卷质量控制登记表

 

调查县(区):                     街道(乡镇):                       居委会(村):

序号

问卷

编号

家庭完成

情况登记表

情况

KISH

使用情况

基本信息

完成情况

单选题

完成情况

多选题

完成情况

跳转情况

是否

整改

后期过表情况

质控员签名

日期

 

 

 

 

 

 

 

 

 

 

 

 

 

 

 

 

 

 

 

 

 

 

 

 

 

 

 

 

 

 

 

 

 

 

 

 

 

 

 

 

 

 

 

 

 

 

 

 

 

 

 

 

 

 

 

 

 

 

 

 

 

 

 

 

 

 

 

 

 

 

 

 

 

 

 

 

 

 

 

 

 

 

 

 

备注:此表由质控员对每天调查员完成的问卷质控填写(监测县(区)存档),问卷编码根据编码规则由质控员填写。

基本信息完成情况代码1.信息完整无逻辑错误;2.有空缺;3.存在逻辑错误; 4.其他。

单选题完成情况代码1.按要求完成、无漏选;2.存在多选的情况;3.存在漏选的题目;4.其他。

多选题完成情况代码1.按要求完成、无漏选、只知道一个答案时选不知道;2.存在只选一个答案,而答案不是不知道;3.存在漏选的题目;4.其他。

跳转情况代码1.正确跳转;2.出现跳转错误;3.其他。

家庭完成情况登记表情况代码1.按要求完成,无误;2.未按要求的顺序填写;3.与基本信息中年龄逻辑不符;4.其他。

KISH表使用情况1.KISH表使用正确;2.KISH表使用错误,3.其他。

是否整改代码1.已经整改;2.其他。

后期过表情况代码1.完成过卡;2.未完成;3.其他。


附件7

 

健康素养监测复核调查表

 

市:             县(区):                 街道(乡镇):                        居委会(村):

序号

居民户地址

KISH

原始问卷

复核

是否一致

调查对象姓名

性别

出生年月时间

文化

程度

职业

调查对象姓名

性别

出生年月时间

文化

程度

职业

1

 

 

 

 

 

 

 

 

 

 

 

 

 

2

 

 

 

 

 

 

 

 

 

 

 

 

 

3

 

 

 

 

 

 

 

 

 

 

 

 

 

4

 

 

 

 

 

 

 

 

 

 

 

 

 

5

 

 

 

 

 

 

 

 

 

 

 

 

 

6

 

 

 

 

 

 

 

 

 

 

 

 

 

7

 

 

 

 

 

 

 

 

 

 

 

 

 

8

 

 

 

 

 

 

 

 

 

 

 

 

 

9

 

 

 

 

 

 

 

 

 

 

 

 

 

10

 

 

 

 

 

 

 

 

 

 

 

 

 

11

 

 

 

 

 

 

 

 

 

 

 

 

 

12

 

 

 

 

 

 

 

 

 

 

 

 

 

总体建议(    ):合格     不合格

复核单位(盖章):                   复核人:                        联系电话:

备注:自治区、市级填写复核调查表,每个监测点复核15人。5项指标有1项不一致则为不一致,不一致问卷达到3份及以上则该地调查工作质量不合格。


附件8

 

        年健康素养监测完成情况报告

(模板)

 

       自治区/市疾病预防控制中心:

我县(区)已经完成2018年居民健康素养监测现场调查工作,现上报各街道(乡镇)调查问卷共×××份,请审核。

 

附件:1县(区)2018年健康素养监测完成情况汇总表

2调查完成情况登记表

3调查问卷(只需国家级监测点提交前240份问卷)

 

 

 

                       上报单位(盖章):

             


附表

 

      县(区)    年健康素养监测

完成情况汇总表

 

                                       填表单位:                    填表人:

                                       监测负责人:                  日期:

序号

街道(乡镇)

名称

居委会(村)

名称

实际调查

户数(户)

完成问卷数(份)

1

 

 

 

 

2

 

 

 

 

3

 

 

 

 

4

 

 

 

 

5

 

 

 

 

6

 

 

 

 

 

 

 

 

 

 

 

 

 

 

 

 

 

 

 

合计

-

-

 

 

                                              注:1本表由数据管理员根据《调查完成情况登记表》汇总填写。

                                                2.实际调查户数指实际调查的家庭户数。

 

                                                                              钦州市卫生和计划生育委员会办公室       201887日印发

文件下载:

关联文件: